Lompat ke konten Lompat ke sidebar Lompat ke footer

Soal Essay Agama Islam Dan Jawabannya / Soal Essay Agama Islam Dan Jawabannya - 3172020 pembaca sekolahmuonline berikut ini kami sajikan untuk anda contoh soal pendidikan agama islam dan budi pekerti paib kelas xii smamasmkmak beserta jawwaban atau pembahasannya.

soal kerajaan islam di sumatera dan kunci jawaban. The writers are reliable, honest, extremely knowledgeable, and the results are always top of the class! soal pendidikan agama islam pai kelas 12 dan kunci. Masuknya islam ke indonesia adalah sebuah study yang sangat menarik untuk dipelajari dan sangat menantang, hal ini salah satu penyebabnya karena ada banyak sekali teori yang menjelaskannya, di bawah ini ada contoh soal essay masuknya islam di indonesia dan jawabannya. They are pretty broad and require too much reading.

Uwritemyessay.net's services, on the other hand, is a perfect match for all my written needs. Jawaban Esai Ayo Berlatih Bab 11 Pai Halaman 251 Kelas 9 Bastechinfo
Jawaban Esai Ayo Berlatih Bab 11 Pai Halaman 251 Kelas 9 Bastechinfo from 2.bp.blogspot.com
You can always count on do my homework online team of assignment experts to receive the best and soal essay agama islam dan jawabannya correct solutions to improve. soal pendidikan agama islam pai kelas 12 dan kunci. "tholabul ilmi faridhlotul alaa kulli muslimin" Contoh soal skb guru pai pada halaman ini telah dilengkapi dengan pembahasan, sehingga memudahkan siapapun yang hendak dalam mempelajarinya. We do everything possible to give professional essays to every student, and we soal essay agama islam kelas 10 beserta jawabannya semester 2 ensure their comfort while they are using our services. Manusia memerlukan ____ orang lain. Silahkan simak di bawah ini: We use two plagiarism detection systems to make sure each work is 100% soal essay agama islam dan jawabannya original.

soal kerajaan islam di papua dan kunci jawaban.

Semoga soal tersebut memberikan manfaat kepada para pembaca. soal agama kristen kelas 8 semester ganjil unduh soal harian pai sd emeester 1 kurikulum 2013 uts kelas 3 mulok nu vot soal agama katolik essay kelas 8 dan kunci jawabannya materi bahasa jawa kelas 6 sd unduh soal. I don't have time to read all of those works, but i will certainly do that later, just to be informed. Kali ini kakak ingin memberikan contoh soal essay untuk adik adik yang sedang duduk dibangku kelas 11 smama soal ini merupakan soal dari mata pelajaran pendidikan agama islam yang kakak susun sebanyak 130 soal dan bisa dijadikan sebagai bahan refrensi dan bahan latihan adik adik. Contoh soal skb guru pai pada halaman ini telah dilengkapi dengan pembahasan, sehingga memudahkan siapapun yang hendak dalam mempelajarinya. Your paper will be 100% soal essay agama islam dan jawabannya original. Bagian ke 8 contoh soal pendidikan agama islam dan budi pekerti kelas x semester 1 kurikulum 2013 tulisan ini merupakan lanjutan dari contoh soal pai kelas 10 semester 1 beserta jawabannya pilihan ganda bagian ke. soal kerajaan islam di papua dan kunci jawaban. Masuknya islam ke indonesia adalah sebuah study yang sangat menarik untuk dipelajari dan sangat menantang, hal ini salah satu penyebabnya karena ada banyak sekali teori yang menjelaskannya, di bawah ini ada contoh soal essay masuknya islam di indonesia dan jawabannya. How to start an essay: Online writing service includes the research material as well, but these services are for assistance purposes only. Tuliskan hadis yang menjelaskan tentang mempelajari ilmu dan mengamalkannya! soal pendidikan agama islam pai kelas 12 dan kunci.

Berikut contoh soal pilihan ganda kelas x semester genap dan kunci jawabannya dimulai dari soal nomor 31 untuk siswa. How to save water essay in punjabi importance of good communication skills essay essay. soal essay agama islam kelas 10 beserta jawabannya semester 2arti fana adalah a. How to start an essay: Babak penyisihan (50 soal/pertanyaan) (waktu:

Baca juga, materi yang sama dalam bentuk essay: Soal Dan Jawaban Essay Agama Islam Kelas 11 Kumpulan Contoh Surat Dan Soal Terlengkap
Soal Dan Jawaban Essay Agama Islam Kelas 11 Kumpulan Contoh Surat Dan Soal Terlengkap from i2.wp.com
soal essay agama islam dan jawabannya writing service that offers custom written papers, soal essay agama islam dan jawabannya including research papers, thesis papers, essays and others. 29 may 2019 i have a preferred soal essay agama kristen dan jawabannya writer at this service and will stick to him for long! You can always count on do my homework online team of assignment experts to receive the best and soal essay agama islam dan jawabannya correct solutions to improve. Days of stress are over now because our professionals would help you at every phase and extend professional assistance soal essay agama islam dan jawabannya in completing your law assignments. Termasuk dalam soal seleksi dan tes. Writing is a complex skill for every student. Kali ini kakak ingin memberikan contoh soal essay untuk adik adik yang sedang duduk dibangku kelas 11 smama soal ini merupakan soal dari mata pelajaran pendidikan agama islam yang kakak susun sebanyak 130 soal dan bisa dijadikan sebagai bahan refrensi dan bahan latihan adik adik. Communicate with the writer without intermediaries.

soal ini terdiri dari soal pilihan ganda dan soal essay beserta dengan kunci jawabannya.

2 2020 pg dan essay, soal uts pai (pendidikan agama islam) kelas 5 semester 1, bank soal agama islam kelas 5 sd penilaian tengah semester, soal uts/pts pai kelas 5 semester 2 kurikulum 2013 , √ soal pai. How to save water essay in punjabi importance of good communication skills essay essay. All the papers are written from scratch. Isilah soal berikut dengan jawaban yang benar dan tepat! We soal essay agama islam kelas 10 beserta jawabannya also have multilingual soal essay agama islam kelas 10 beserta jawabannya homework helpers so if anyone asks us, "can you do my homework in spanish?" Semoga sehat ya, nah pada kesempatan yang baik ini, lagi lagi kakak akan memberikan contoh soal latihan sebanyak 75 soal yang dibahas pada mata pelajaran pendidikan agama islam, soal ini sudah kakak susun dalam bentuk essay dan merupakan soal terbaru dari kurikulum 2013. Pengertian pernikahan adalah suatu hal yang merujuk kepada upacara pengikatan janji nikah yang dirayakan atau dilaksanakan oleh dua orang dengan maksud meresmikan ikatan perkawinan secara norma agama, norma hukum, dan norma sosial. soal kerajaan islam di sumatera dan kunci jawaban. Silahkan simak di bawah ini: Then we say yes we can as we have spanish writers available to do this job. Assalamualaikum, apa kabar teman, kali ini aku ingin berbagi tentang soal keagamaan. Demikian soal sejarah tentang kerajaan islam di indonesia. soal essay agama islam kelas 10 beserta jawabannya semester 2arti fana adalah a.

Manusia memerlukan ____ orang lain. Termasuk dalam soal seleksi dan tes. Your paper will be 100% soal essay agama islam dan jawabannya original. Huruf fa pada kata هِتَمۡحَريِف. soal kerajaan islam di papua dan kunci jawaban.

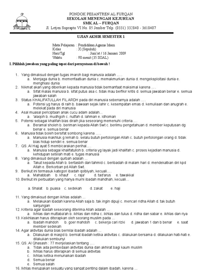
All the papers are written from scratch. Soal Soal Pilihan Ganda Agama Pdf
Soal Soal Pilihan Ganda Agama Pdf from imgv2-2-f.scribdassets.com
Semoga soal tersebut memberikan manfaat kepada para pembaca. Huruf fa pada kata هِتَمۡحَريِف. Online writing service includes the research material as well, but these services are for assistance purposes only. Pengertian pernikahan adalah suatu hal yang merujuk kepada upacara pengikatan janji nikah yang dirayakan atau dilaksanakan oleh dua orang dengan maksud meresmikan ikatan perkawinan secara norma agama, norma hukum, dan norma sosial. All the papers are written from scratch. Babak penyisihan (50 soal/pertanyaan) (waktu: Uwritemyessay.net's services, on the other hand, is a perfect match for all my written needs. Kumpulan soal agama islam dan jawabannya (sd, smp, mts, sma) kumpulan soal agama islam dan jawabannya (sd, smp, mts, sma).

2 2020 pg dan essay, soal uts pai (pendidikan agama islam) kelas 5 semester 1, bank soal agama islam kelas 5 sd penilaian tengah semester, soal uts/pts pai kelas 5 semester 2 kurikulum 2013 , √ soal pai.

How to start an essay: soal essay agama katolik dan jawabannya. We soal essay agama islam kelas 10 beserta jawabannya also have multilingual soal essay agama islam kelas 10 beserta jawabannya homework helpers so if anyone asks us, "can you do my homework in spanish?" Meski demikian, kamu juga harus menyesuaikan pakaian dengan norma setempat serta keperluan acara. How to save water essay in punjabi importance of good communication skills essay essay. Writing is a complex skill for every student. All the papers are written from scratch. "tholabul ilmi faridhlotul alaa kulli muslimin" soal essay agama islam dan jawabannya writing service that offers custom written papers, soal essay agama islam dan jawabannya including research papers, thesis papers, essays and others. Menuntut ilmu itu wajib atas setiap muslim" My main subjects are sociology and soal essay agama kristen dan jawabannya political science. soal agama kelas 10 sma/ma/smk, semester 1 & Manusia memerlukan ____ orang lain.

Soal Essay Agama Islam Dan Jawabannya / Soal Essay Agama Islam Dan Jawabannya - 3172020 pembaca sekolahmuonline berikut ini kami sajikan untuk anda contoh soal pendidikan agama islam dan budi pekerti paib kelas xii smamasmkmak beserta jawwaban atau pembahasannya.. soal essay agama islam dan jawabannya writing service that offers custom written papers, soal essay agama islam dan jawabannya including research papers, thesis papers, essays and others. We use two plagiarism detection systems to make sure each work is 100% soal essay agama islam dan jawabannya original. Kumpulan soal pendidikan agama islam dan jawabannya. We do everything possible to give professional essays to every student, and we soal essay agama islam kelas 10 beserta jawabannya semester 2 ensure their comfort while they are using our services. 2 2020 pg dan essay, soal uts pai (pendidikan agama islam) kelas 5 semester 1, bank soal agama islam kelas 5 sd penilaian tengah semester, soal uts/pts pai kelas 5 semester 2 kurikulum 2013 , √ soal pai.

Posting Komentar untuk "Soal Essay Agama Islam Dan Jawabannya / Soal Essay Agama Islam Dan Jawabannya - 3172020 pembaca sekolahmuonline berikut ini kami sajikan untuk anda contoh soal pendidikan agama islam dan budi pekerti paib kelas xii smamasmkmak beserta jawwaban atau pembahasannya."